Bekend uit de media:
Dat het vet na liposuctie op andere plaatsen terugkomt is iets wat in de wandelgangen veel gezegd wordt. Het is een heel interessante vraag die ook in onze kliniek vaak door cliënten wordt gesteld. Wij geven hier graag duidelijkheid over.
Het korte antwoord is: “als mensen na de behandeling stabiel op gewicht blijven, dan zien wij in de praktijk geen aanwijzingen dat liposuctie leidt tot duidelijke vettoename op andere plekken!”
De volgende zaken zijn van belang om het fenomeen vetverdeling na liposuctie beter te begrijpen:
Aangezien het lichaam volgens de laatste inzichten inderdaad lijkt te streven naar een gewichtsbalans, kan het zijn dat het lastig is om het verwijderde vet er precies helemaal van af te houden. Daarom zeggen we ook altijd dat je het vet dat verwijderd is door de liposuctie niet precies zult terugzien op de weegschaal. Het is dus belangrijk om het doel van de liposuctie voor ogen te houden!
Het doel van liposuctie is geen gewichtsverlies maar volumevermindering en contourverbetering, en bij lipoedeem vermindering van klachten. Déze effecten zijn blijvend!
Een studie die regelmatig wordt aangehaald bij dit vraagstuk werd in 2011 uitgevoerd in Denver (1). De studie laat zien dat na 1 jaar de totale hoeveelheid lichaamsvet bij mensen die een liposuctie kregen ongeveer terug was bij af. Het vet leek daarmee vooral op de buik regio en minder op de heup/dij regio terug te komen.
Hoewel deze studie interessant is, zijn er een heleboel kanttekeningen bij te plaatsen. Het gaat bijvoorbeeld om een zeer klein patiënten aantal, die niet allemaal precies op dezelfde lichaamsplekken behandeld werden (sommigen werden bv alleen op de heupen en niet op de buik behandeld). Op de studie kwaliteit zullen we hier verder niet ingaan. Een nog belangrijkere vraag is: wat betekenen de resultaten eigenlijk in de praktijk? Zeggen ze iets over hoe iemand er in het echt uitziet of zich voelt?
Voor de écht geïnteresseerden leggen we de uitkomsten van de studie graag nog wat beter uit.
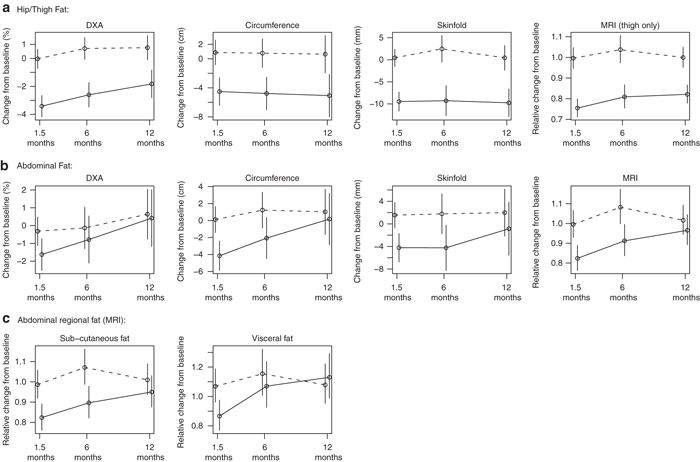
De studie vergeleek de samenstelling van het lichaamsvet, de buik/heup/been omtrek en de huidplooi-dikte van 14 “niet-obese vrouwen” die “klein volume liposuctie” van de onderbuik, bovenbenen of heupen, kregen met 18 vrouwen die geen liposuctie kregen. De metingen werden gedaan bij start, na 6 weken, na 6 maanden en na 1 jaar. Ze mochten tijdens de loop van de studie allemaal hun leefstijl niet veranderen (bijvoorbeeld niet diëten of extra sporten).
Na 1 jaar was het totale vetpercentage van de liposuctie groep nog steeds afgenomen (-0.41%), terwijl de controle groep aankwam (+0.59%) ten opzichte van start (figuur 1). Het verschil was na 6 weken en 6 maanden nog duidelijk maar na 1 jaar niet meer “statistisch significant”.

De vetvermindering op de heup/dij regio bleek na 1 jaar nog duidelijk zichtbaar (liposuctie -2.59% vs controle +0.77% ) (figuur 2a).
Het teruggekomen/herverdeelde vet bleek hiermee na 1 jaar vooral op de buikregio terecht te komen (liposuctie +0.42% vs controle +0.64%) (niet statistisch significant) (figuur 2b).
De liposuctie groep leek net iets meer vet rond de organen te ontwikkelen dan de controlegroep (figuur 2c) (niet statistisch significant).
Aangezien buikvet meer gezondheidsrisico’s met zich meebrengt dan vet op de benen werd ook gekeken naar “metabole kenmerken” (cholesterol, suikergehalte, insuline level, ed). Deze metingen bleken bij beide groepen gelijk na 1 jaar.

De resultaten van deze studie bevestigen eigenlijk alleen de ervaring dat het lastig kan zijn om het verwijderde vet er precies helemaal van af te houden en dat het vet vooral terugkomt op de niet, of minder grondig behandelde plaatsen. Zoals eerder aangegeven blijft de contourverbetering en de vetafname op het behandelde gebied dus wel duidelijk zichtbaar!
We herhalen het daarom nog maar een keer: “Het doel van liposuctie is volumevermindering en contourverbetering. Deze effecten zijn blijvend!”
Het is helaas wel een feit dat rond de menopauze het vet op de buikregio sowieso neigt toe te nemen. Zit je rond de menopauze? Dan is het extra belangrijk om na de liposuctie gezond te blijven eten en voldoende te blijven bewegen!”
Wij zien vooral bij lipoedeem in de praktijk juist vaak dat vrouwen beter kunnen bewegen en lekkerder in hun vel komen, waardoor ze juist helemaal niet aankomen na liposuctie. Wel kan lipoedeem zich verder ontwikkelen op onbehandelde gebieden. Meer weten over de kosten van lipoom verwijderen of lipomen verwijderen?
Heb jij lipoedeem? Dan is het heel belangrijk om een actieve leefstijl aan te houden en op gezonde, juiste voeding te blijven letten, óók na liposuctie!
Referentie:
1. Hernandez TL, Eckel RH et al. Fat redistribution following suction lipectomy: defense of body
Over liposuctie
Liposuctie, liposculptuur of liposculpture is een behandeling waarbij overtollig vet met een dunne zuigbuis (canule) wordt verwijderd. Liposuctie is geen oplossing om af te vallen, maar een contour verbetermethode.
Liposuctie kan bijna op elk lichaamsgebied worden toegepast. Denk bijvoorbeeld aan de buik, heupen, taille, rug, love handles, zadeltassen, billen, armen, dijen, onderbenen, onderkin, hals en borsten. Bij Lipology Clinic behandelen we alle mogelijke gebieden.
Tumescente liposuctie is een geavanceerde techniek, die geheel onder plaatselijke verdoving wordt uitgevoerd. Er wordt hierbij heel veel vloeistof met verdoving in het te behandelen gebied ingespoten, waardoor het vetweefsel stevig wordt en het vet als het ware verweekt. Hierdoor kan het vet veiliger, makkelijker, mooier en met minder weefselschade worden verwijderd. Om de behandeling nog meer te verfijnen gebruiken we bij Lipology dunne trillende (vibrerende) zuigbuisjes (canules). Dit maakt de behandeling ook geschikt voor lipoedeem.
> Meer over tumescente liposuctie
Tumescente liposuctie heeft vele voordelen ten opzichte van traditionele liposuctie.
Veiligste techniek(1):
Mede doordat de behandeling onder alléén plaatselijke verdoving wordt uitgevoerd is de kans op ernstige lichamelijke complicaties vrijwel nul (in ons team in > 5000 behandelingen nog niet voorgekomen).
Mooiere resultaten (sculpting):
De tumescente vloeistof vergroot en egaliseert het behandelgebied, waardoor de arts veel preciezer kan werken. Ook kunnen patiënten door de plaatselijke verdoving tijdens de behandeling van houding wisselen. Hierdoor kunnen mooiere, egalere resultaten worden bereikt.
Sneller herstel:
Doordat er minder schade wordt toegebracht aan het weefsel en alleen plaatselijk wordt verdoofd, is het herstel na tumescente liposuctie over het algemeen sneller en minder pijnlijk. Patiënten kunnen dezelfde dag naar huis en hun dagelijkse activiteiten binnen enkele dagen weer opstarten.
Liftend effect/ huidverstrakking:
door de ingespoten vloeistof en het gebruik van dunne trillende canules wordt de verbinding van de huid aan de spier niet beschadigd. Hierdoor kan de huid niet zakken. Bovendien wordt het weefsel geactiveerd waardoor de huid nog extra samentrekt (lift).
Een huidcorrectie is bij tumescente liposuctie dan ook zelden nodig.
1.Safety Studies in the Field of Liposuction: A Systematic Review Halk AB, Habbema L. Genders, R.E., Hanke C.W. Dermatol Surg. 2019 Feb;45(2):171-182.
Om een liposuctie pijnloos uit te kunnen voeren is natuurlijk verdoving nodig. Hier zijn verschillende methodes voor. Zo kun je volledige narcose gaan, een ruggenprik of verdoving via een infuus krijgen, of alleen plaatselijk worden verdoofd (lokale verdoving).
Wetenschappelijk onderzoek toont aan dat een liposuctie behandeling onder narcose grotere risico’s dan alleen lokale verdoving (1).
Anders gezegd: hoe wakkerder en mobieler de patiënt tijdens de behandeling, hoe veiliger. Daarbij krijg je ook mooiere resultaten als een patiënt mobiel is en tijdens de behandeling verschillende houdingen aan kan nemen.
Bij Lipology Clinic kiezen we onder andere daarom heel bewust voor de geavanceerde tumescente liposuctie methode; waarbij het vet verwijderd wordt onder alléén plaatselijke verdoving.
1. Halk AB, Habbema L, Genders RE, Hanke CW. Safety Studies in the Field of Liposuction: A Systematic Review. Dermatol Surg. 2019 Jan 28
Tegenwoordig worden er ook nieuwe technologieën en apparaten gebruikt om de resultaten van de liposuctie te verbeteren.
Voorbeelden zijn ultrasound-assisted liposuctie, laser-, water jet-, en power-assisted liposuctie.
Deze technieken worden vaak gepromoot als vernieuwend met grote voordelen, maar zijn deze beloftes reëel en bewezen? En wat zijn de risico’s van deze technieken?
Eerlijke informatie over de voor- en nadelen van extra technologieën bij liposuctie en waarom Lipology Clinic alleen gebruik maakt van vibrerende micro canules lees je hier.
Doordat de behandeling onder alléén lokale verdoving wordt uitgevoerd zijn de voorwaarden om voor de behandeling in aanmerking te komen iets minder streng dan bij liposuctie onder narcose. Ook mensen met een BMI van boven de 30 kunnen in sommige gevallen met tumescente liposuctie dus wel behandeld worden. Dit hangt af van de verdere conditie. Ook moet de behandeling te combineren zijn met eventueel gebruikte medicatie en medische voorgeschiedenis.
Het is wel belangrijk het doel van liposuctie voor ogen te houden. Liposuctie is gericht op het vormgeven en verbeteren van de lichaamscontouren en niet op gewichtsverlies.
Liposuctie is het meest effectief bij personen die al dicht bij hun ideale gewicht zijn, maar specifieke probleemgebieden willen aanpakken.
Liposuctie alternatieven: vet verwijderen zonder operatie is dat mogelijk? Tegenwoordig worden er vele behandelingen aangeboden om, zonder liposuctie / operatie, het vet te doen ‘oplossen’. Dit wordt ook wel lipolyse genoemd.
Voorbeelden zijn:
De resultaten van al deze behandelingen zijn veel minder spectaculair dan van liposuctie. Ze zijn dus alleen geschikt voor heel kleine vetophopingen. En let op! Ook deze behandelingen hebben risico’s!
In principe is er geen leeftijdsgrens voor tumescente liposuctie. Als je gezond bent is er geen enkele reden waarom je je zou moeten neerleggen bij belemmeringen door een lichaam dat niet bij je past!
Veiligheid staat voorop! Als je medicatie gebruikt of onder behandeling bent, dan zullen wij meestal eerst contact opnemen met de behandeld specialist.
Natuurlijk kan het zijn dat het terugtrekken van de huid wat minder spectaculair zal zijn dan bij jonge vrouwen. Ook op leeftijd trekt de huid echter vaak nog een heleboel terug. Dit wordt tijdens een consult goed besproken. We hebben diverse foto’s om een beeld te kunnen geven van wat je kunt verwachten.
De behandeling
Op de dag van de behandeling word je door ons vaste team ontvangen. Hierna doen we enkele controles en tekent de arts het te behandelen gebied nauwkeurig af. Daarna wordt de verdovende vloeistof heel langzaam met heel subtiele naaldjes ingespoten. Dit duurt meestal ongeveer 1 uur. Dan volgt een rustpauze van minimaal een half uur maar vaak langer, waarin de vloeistof inwerkt. Daarna kan het vet worden weggezogen. We gaan door met perfectioneren totdat we helemaal tevreden zijn en nemen hiervoor alle tijd die nodig is.
Meer over het verloop van de behandeling en het herstel lees je hier.
Ondanks dat tumescente liposuctie een heel veilige behandeling is, kunnen er altijd bijwerkingen ontstaan. De meeste mogelijke bijwerkingen zijn tijdelijk (zwelling, blauwe plekken, veranderd gevoel van de huid, jeuk, bijwerkingen door het gebruikte antibioticum of verdovingsmiddel). Infecties komen zeer zelden voor, ook doordat wij op de dag voor de behandeling starten met een korte antibioticumkuur.
Tijdens het informatiegesprek zullen alle bijwerkingen en risico’s nog eens uitvoerig met je worden besproken.
Het herstel
Na de liposuctie zal het behandelde gebied gezwollen zijn. Eerst door de verdovingsvloeistof en later door wondvocht. Het grootste gedeelte van deze zwelling verdwijnt in de eerste weken na de behandeling. Om dit genezingsproces te ondersteunen is het heel belangrijk dat je gedurende 2 weken dag en nacht een drukpak draagt, dat je van ons meekrijgt.
Er ontstaat bij tumescente liposuctie geen blijvende schade aan het bloed- of lymfevaten. Uiteindelijk zal het extra vocht dus ook weer verdwijnen. Dit maakt tumescente liposuctie ook geschikt voor lipoedeem.
Na de ingreep wordt het behandelde gebied verpakt in verbandmateriaal met een drukpak er over.
Na 24 uur kun je lekker douchen en het verband materiaal verwijderen.
Het drukpak draag je vervolgens gedurende minimaal 2 weken dag en nacht. Dit pak is goed onder de kleding te dragen.
Dit is anders dan de 6 weken die gewoonlijk bij traditionele liposuctie methodes wordt voorgeschreven. De reden hiervoor is de minimale weefselschade dit bij tumescente liposuctie. Sommige mensen vinden het prettig om het pak bv. overdag wat langer door te dragen. Dat is geen enkel probleem. Je kunt eventueel ook een extra pakje bij ons aanschaffen.
Na de liposuctie zal het behandelde gebied gezwollen zijn door (wond)vocht. Je draagt hierom gedurende 2 weken dag en nacht een drukpak.
Door op een bepaalde manier te masseren (manuele lymfedrainage) kan het lichaam (lymfesysteem) extra worden gestimuleerd om dit vocht af te drijven. Ook kan massage het wondgebied verzachten door verklevingen, die horen bij normaal wondherstel, los te maken.
Je zou dus, om het herstel te prettiger te laten verlopen, kunnen kiezen voor massage na de liposuctie. Dit start dan 1 of 2 weken na de liposuctie, als de ergste gevoeligheid weggetrokken is.
Ons advies is om dit te laten doen bij een gespecialiseerd ‘oedeemtherapeut’. Waar wij er veel van kennen om je naar door te verwijzen.
Een misverstand is dat massage na liposuctie belangrijk is voor het eindresultaat. Dat is niet zo!
Kortom: doe aan massage als je dat prettig vindt, maar het dragen van het drukpak met voldoende beweging is ruim voldoende voor goed wondherstel.
Wanneer je weer kan werken hangt van het type werk af en van hoe snel je je weer fit genoeg voelt. Kantoorwerk kan bijv. meestal al na enkele dagen prima worden hervat. Zwaar lichamelijk werk heeft vaak wat meer tijd nodig. Je kunt door te veel te doen niet echt dingen kapot maken maar het lichaam zal je wel terugfluiten. Luisteren naar je lichaam is dus het advies.
Resultaten
Een veel gestelde vraag is hoeveel kilo vet er wordt verwijderd en of je dit terugziet op de weegschaal.
Het korte antwoord is: liposuctie is geen afvalmethode maar een contour verbetermethode.
We kunnen van tevoren dus ook niet goed voorspellen hoeveel liter (we rekenen niet in kilo’s maar in (mili)liters) vet er verwijderd zal worden. Dit verschilt enorm per individu en behandelgebied. Wij halen zo veel mogelijk weg, binnen de grenzen van wat medisch mogelijk en cosmetisch fraai is.
Tijdens het herstelproces is er eerst nog wat meer weefselvocht aanwezig en vervolgens zoekt het lichaam naar een nieuwe balans. Als er een héleboel vet is verwijderd en je heel nauwlettend je voeding in de gaten houdt, dan zul je na enkele weken tot maanden mogelijk een verschil op de weegschaal kunnen zien.
Afvallen moet nogmaals niet het doel zijn van een liposuctie behandeling!
Nee, niet bij tumescente liposuctie met trillende dunne afzuig canules, zoals toegepast bij Lipology Clinic. Één van de grote voordelen deze liposuctie techniek is namelijk dat er huidverstrakking optreedt. Een huidcorrectie is dan ook zelden nodig.
Hoeveel de huid kan terugtrekken is afhankelijk van de situatie voor de behandeling. Dit wordt tijdens een consult uitgebreid met je besproken.
Dat het vet na liposuctie op andere plaatsen terugkomt is iets wat in de wandelgangen veel gezegd wordt. Het is een heel interessante vraag, die niet in een paar zinnen te beantwoorden is.
Heel kort is het antwoord: als mensen na de behandeling stabiel op gewicht blijven, dan zien we in de praktijk geen aanwijzingen dat liposuctie leidt tot duidelijke vettoename op andere plekken.
Lees hier een uitgebreide uitleg over vetverdeling na liposuctie
Hoeveel de huid kan terugtrekken is afhankelijk van de situatie voor de behandeling. Dit wordt tijdens een consult uitgebreid met je besproken.
Kosten
Maak online of telefonisch een afspraak. Onze consulente neemt vervolgens contact met je op om de afspraak te bevestigen en eventuele vragen te bespreken.
Tijdens een eerste consult neemt de arts alle tijd om je wensen en de mogelijkheden te bespreken. Je krijgt een eerlijk advies over mogelijke behandelingen, risico’s en nazorg. Daarna heb je een gesprek met de consulente die jou gedurende het gehele behandeltraject zal begeleiden.
Pietersbergweg 281
2e etage
1105 BM Amsterdam
(Frances gebouw)
Je hebt je goed voorbereid en besloten om voor een behandeling te kiezen. Wij zorgen voor de beste zorg en hoogstpersoonlijke service. Lees hier wat je kunt verwachten van de behandeling zelf.
Wij gaan voor een probleemloos herstel. Merk je dat er iets niet naar wens gaat of heb je vragen, dan zijn we 24/7 telefonisch bereikbaar. Lees hier meer over het herstel.
“Dr Halk is professioneel en ook inlevend. Kan snel handelen en schakelen en is duidelijk in haar uitleg. Ik vond haar manier van werken erg prettig en kan iedereen dr. Halk aanbevelen.”
Zorgkaart
Dokter Halk is de oprichter van Lipology Clinic. Door haar opleiding tot dermatoloog en passie voor esthetiek is drs. Halk expert op het gebied van zowel medische als cosmetische behandelingen van de huid en de onderhuidse weefsels.
Loek Habbema is autoriteit op het gebied van vetbehandelingen met meer dan 30 jaar ervaring. Hij behandelde voorheen in Medisch Centrum ‘t Gooi in Bussum. Nu behandelt Loek Habbema zijn patiënten bij Lipology Clinic, waar hij ook Medisch Adviseur is.
Christiaan Bakker is een ervaren dermatoloog met een specialisatie in lipoedeem en lymfoedeem. Hij behandelt patiënten bij Lipology Clinic en is daarnaast werkzaam bij het Expertisecentrum Lymfovasculaire Geneeskunde (ECL) in Drachten.
Drs. Iteke van Seventer is liposuctiearts bij Lipology Clinic met ervaring in dermatologie en maatschappelijke en preventieve gezondheid. Ze volgt een gespecialiseerde opleiding in tumescente liposuctie en werkt nauw samen met het landelijke expertisecentrum voor lipoedeem
Laat jouw e-mailadres achter en download direct daarna de brochure over liposuctie bij borstverkleining. Hierin vind je onder andere alles over de behandeling, de resultaten en de kosten.
Inhoud medisch gecontroleerd
Deze pagina is beoordeeld op medische juistheid door Drs. Habbema, arts bij Lipology Clinic. De inhoud wordt regelmatig geactualiseerd volgens de laatste medische inzichten.